CEO: Su Caracterización en el Marco de la Responsabilidad Social

Resumen

El tema Responsabilidad Social Empresarial es muy estudiado, en general se aborda desde el punto de vista de las actividades a las que se dedica la empresa y su compromiso con los distintos actores de la sociedad.
Este trabajo es un análisis conceptual y descriptivo de la idea del CEO o Director General como actor fundamental en el desarrollo de la Responsabilidad Social Empresarial, haciendo énfasis en la importancia de sus características personales y empresariales que puedan ser significativas y tomadas en cuenta como activo de la organización y presenta un breve análisis critico de la forma cómo ésta es asumida por dichos actores en las empresas mexicanas, el compromiso que significa asumir dicho perfil y su influencia entre los colaboradores.


Palabras clave: ceo, director general, gerente general, empresa, responsabilidad social

Abstract

The theme Social Responsibility is studied , it is generally approached from the point of view of the activities to which the company and its commitment to the different actors in society is engaged .
This work is a conceptual and descriptive analysis of the idea of the CEO or CEO as a key player in the development of Corporate Social Responsibility, emphasizing the importance of personal characteristics and business that may be significant and taken into account as an asset the organization and provides a brief critical analysis of the way it is taken over by these actors in Mexican companies , the commitment means taking the profile and influence among employees .


Keywords: ceo, general manager, general manager, company, social responsibility

INTRODUCCIÓN

En la actualidad, el interés por la trascendencia de la dimensión social por parte de las empresas es generalizado y trascendental; de tal modo que la Responsabilidad Social Empresarial (RSE) se encuentra entre los principales temas de discusión en el ámbito académico, científico y corporativo. En su mayoría, el centro  de la discusión ha estado en el hecho de que la RSE se ha llegado a considerar más bien un conjunto de actos filantrópicos por parte de las grandes empresas, y no el espacio a través del cual se genere un cambio importante que impacte más allá de acciones reactivas para paliar el desgaste del entorno de dichas corporaciones.

Sistemáticamente, los líderes de las organizaciones han considerado a la responsabilidad social como un tema importante como coste, limitación o restricción, aunque cada vez más, se ha considerado que la implicación social tiene consecuencias positivas en la búsqueda de mejorar su reputación y su posición dentro de la sociedad (Farooq Khan & Atkinson, 1987).

En la actualidad, es cada vez más extendida la idea, de que la RSE puede incorporarse en la estrategia de las organizaciones, como elemento de desarrollo, tanto interno en su compromiso con el personal, como externo en su impacto con los diversos grupos de interés, de la empresa (Burke & Logsdon, 1996).

En este sentido, existen distintos reportes y opiniones que dan cuenta del impacto de la responsabilidad social de las empresas en México, tal es el caso del Centro Mexicano para la Filantropía (CEMEFI) que creó el programa de Responsabilidad Social Empresarial y que ha tomado conciencia de su condición de ciudadano corporativo, materializando el valor de la Responsabilidad Social Empresarial.

Según una encuesta realizada por Business for Social Responsibility (BSR), que cuenta con más de 1400 empresas socias, el 68% de los encuestados a nivel mundial desea que las compañías hagan más que sólo concentrarse en la multiplicación de sus ganancias. Por otra parte, el 49% manifestó que se forma una buena impresión de una empresa basándose en las acciones de responsabilidad social. En tanto, aquellas entidades percibidas socialmente irresponsables tienen una respuesta negativa en el 39% de los casos, y el 20% rechaza o habla mal de sus productos y servicios (Acción Empresarial , 2003).

Si bien, la RSE ha sido objeto de numerosos estudios en la actualidad, quedan aspectos que requieren análisis de mayor profundidad, como es el caso concreto de la importancia del papel que juegan los directores, gerentes o CEOs en el desarrollo de prácticas de RSE (Swanson, 2008). Resulta de vital importancia conocer cuáles son las características del CEO socialmente responsable, además de conocer las diferencias entre aquel director  que visualiza la RSE como un coste o limitación de aquel que entiende la importancia de esta para la estrategia de la empresa.

El presente trabajo desarrolla un análisis conceptual y descriptivo a la idea del CEO o Director General como actor fundamental en el desarrollo de la Responsabilidad Social Empresarial, haciendo énfasis en la importancia de sus características personales y empresariales que pueden significar como importante activo en la estrategia de la empresa. Además se presenta un breve análisis de la forma como ésta ha sido asumida por dichos actores (CEOs) en las empresas mexicanas y el compromiso que significa poseer dicho perfil y su influencia entre los colaboradores y otros grupos de interés.  

En este caso concreto, se busca conocer el perfil de los directores o CEOs de empresas mexicanas, sean propietarios o no, pero que tengan el mando y las decisiones de la estrategia en la empresa, ya que, la relación entre su perfil y la conducta de la compañía irán de la mano en el tema de RSE. 

¿QUÉ ES LA  RESPONSABILIDAD SOCIAL EMPRESARIAL?

Según Dela Cuesta, la Responsabilidad Social Empresarial (RSE)[1] es el conjunto de obligaciones y compromisos, legales y éticos, nacionales e internacionales con los grupos de interés (De la Cuesta, 2005). Estos compromisos están circunscritos a las consecuencias de la actividad empresarial en los ámbitos social, laboral, medioambiental y de los derechos humanos. La RSE incide tanto en la gestión de las organizaciones en sus actividades productivas y comerciales, como en sus relaciones con los grupos de interés (stakeholders).

A nivel institucional, por ejemplo, los organismos de AliaRSE[2] definen a la Responsabilidad Social Empresarial, como el compromiso consciente y congruente de cumplir integralmente con la finalidad de la empresa, tanto en lo interno como en lo externo, considerando las expectativas económicas, sociales y ambientales de todos sus participantes, demostrando respeto por la gente, los valores éticos, la comunidad y el medio ambiente, contribuyendo así a la construcción del bien común.

El Libro Verde, define a la Responsabilidad Social de las Empresas como la “integración voluntaria, por parte de las empresas, de las preocupaciones sociales y medioambientales en sus operaciones comerciales y sus relaciones con sus interlocutores” ((UE), 2001).

El Centro Mexicano para la Filantropía (CEMEFI), la Responsabilidad Social Empresarial es el compromiso consciente y congruente de cumplir integralmente con la finalidad de la empresa tanto en lo interno, como en lo externo, considerando las expectativas de todos sus participantes en lo económico, social o humano y ambiental, demostrando el respeto por los valores éticos, la gente, las comunidades y el medio ambiente y para la construcción del bien común (CEMEFI, 2009).

A pesar de la preferencia por el enfoque utilitarista dominante entre muchos gerentes, principalmente en occidente, la mayoría saben que también tienen muchas responsabilidades que se diversifican en una amplia gama. Con frecuencia se sugieren tres razones principales para adoptar la responsabilidad social de los participantes: 1) utilitarismo o egoísmo bien informado, 2) estrategia responsable o inversión sana y 3) limitante o evitar la interferencia. Bajo el principio fundamental del egoísmo bien informado, la administración usa la responsabilidad social para justificar numerosas decisiones y acciones. La idea general es que una sociedad mejor crea un mejor ambiente para los negocios.

Bajo el principio fundamental de la inversión sana, la administración cree que la responsabilidad social tiene un efecto positivo en el valor neto de la compañía. Las empresas con responsabilidad social, a la larga, parecen tener un desempeño financiero superior en comparación con el de las empresas con menos responsabilidad social. Además, los precios más altos de las acciones de las empresas con responsabilidad social reducen el costo (tasa de interés) del capital e incrementan las ganancias. Bajo el principio fundamental de evitar la interferencia, la administración aspira a minimizar el control de las decisiones de la compañía por participantes poderosos, como dependencias del gobierno y grupos de presión. La autorregulación de la industria se justifica con frecuencia con base en evitar la interferencia.

PARTICIPANTES

Los individuos o grupos que tienen intereses, derechos o propiedad en una empresa  y sus actividades se conocen como participantes. Estos grupos de participantes, internos y externos, pueden beneficiarse de los éxitos de una compañía o pueden resultar perjudicados por sus decisiones e incluso errores. Del mismo modo, la empresa tiene un interés en mantener el bienestar general y la afectividad de los grupos participantes. Uno de los participantes internos menos estudiado es el Director General o Chief Executive Officer (CEO).

Los grupos más importantes, los participantes primarios, básicos o internos, son aquellos cuyas preocupaciones debe atender la organización para asegurar su propia supervivencia. Tienen un impacto directo en los recursos financieros disponibles para la empresa. Los participantes secundarios o externos también son importantes porque pueden emprender acciones que puedan dañar o ayudar a la organización. Los participantes secundarios incluyen gobierno (en especial a través de dependencias reguladoras), sindicatos, Organizaciones No Gubernamentales ONGs, activistas, grupos de acción política y los medios masivos de comunicación (Hellriegel, 2004).

El siguiente diagrama propuesto por World Economic Forum, de forma gráfica resume las que pueden considerarse como las áreas principales de la Ciudadanía Corporativa o RSC, aclarando que su precisión es una cuestión de diálogo y negociación con los diferentes stakeholders[3].

(Forum)

 

FIGURA 1: Áreas de la Ciudadanía Corporativa, World Economic Forum (2002)

 

PARTICIPANTES Y ACTORES DECISIVOS EN LA RSE

CEO: Es importante para el análisis, iniciar con el participante que a menudo encabeza la estrategia, en la empresa. Ya sea que este le apueste a la RSE o no, sin duda es uno de los participantes trascendentales. Según la consultora McKinsey de gestión empresarial (2007) “los CEO actuales están presionados para hacer frente a omnipresentes cuestiones medioambientales, sociales y de gobernanza que a veces resultan explosivas”.

Chief Executive Officer (CEO), en la terminología anglosajona, podría traducirse como consejero delegado o director general, cuando no existe aquella figura; se utiliza para distinguirlo del Chairman (o Chairperson), que designa al presidente del consejo de administración. El CEO (Chief Executive Office) o Director Ejecutivo, Consejero Delegado, Presidente Ejecutivo o Principal Oficial Ejecutivo, como tradicionalmente se le llamó hasta que la globalización trajo aparejado innumerables reformas sociales, políticas, económicas y de términos también, es la persona que tiene a su cargo la máxima autoridad de la gestión y dirección administrativa en una empresa, organismo, asociación o institución (Pless, 2007).

Se dice que el CEO tiene el máximo nivel de decisión en la compañía a la que representa. En este trabajo se utilizará indistintamente el termino CEO como sinónimo o en referencia al Gerente General o Director General.

Grupos de Interés o “stakeholders”:

Según Thomas Clarke, stakeholding es un concepto antiguo que el diccionario define como to have a stake in something, entendiendo el término stake como un interés en algo que el individuo desea tener y que le puede ser concedido o negado. Desde este punto de vista y con una perspectiva empresarial, los stakeholders serían aquellos individuos o colectivos que tienen algún tipo de interés sobre una organización y que ésta puede o no satisfacer (Clarke, 1997).

Tal y como mencionan, Bronn y Bronn (2003: 293), Freeman fue uno de los primeros autores en desarrollar la perspectiva de los stakeholders, encaminada a la búsqueda de cambios proactivos en el modo de operar con el entorno desde el mundo de los negocios. El autor define el concepto de un modo distinto al recogido por Clarke, al considerar un stakeholder como “aquellos grupos que pueden afectar o ser afectados por el logro de los propósitos de la organización”, pero presenta también una distinción entre varios tipos de stakeholders, según sea su influencia directa o indirecta sobre la empresa: los ‘primarios’ o ‘definicionales’ y los stakeholders ‘instrumentales’. Los primarios son vitales para el crecimiento continuo y sobrevivencia de cualquier empresa, mientras los stakeholders instrumentales están en el entorno amplio de la empresa y son aquellos que pueden influenciar a los primarios (activistas, competidores, ambientalistas, medios de comunicación) (Edward, 2004).

La empresa debe considerar todos los grupos de interés con los que interactúa y configurar un real sistema de gestión socialmente responsable.  Configurando un marco de acción sobre el deber ser de la organización y sus recursos reales, debe considerar su capacidad de hacer y consensuar con sus grupos de interés.

Sociedad Civil:

Otro de los mayores interesados es la sociedad civil. El interés y la capacidad de influencia de la sociedad civil debe fortalecer y “recompensar” a las organizaciones socialmente responsables, incrementando la confianza en la organización como herramienta para cambiar realidades, respeto para con los otros y transparencia para el actuar.

RESPONSABILIDAD SOCIAL EMPRESARIAL Y SU IMPACTO SOCIAL

La RSE en la actualidad se puede relacionar de manera general a ya nivel de análisis macro, con los denominados movimientos sociales y empresariales cómo “ética de negocios” y “comercio justo”.  Por un lado, el concepto de ISR (Inversión Social Responsable)  es inherente al de RSE (Responsabilidad Social Empresarial), pero enfocado en la decisión de los inversionistas, y plantea en primer lugar una decisión del destino de los capitales corporativos, y no tanto en la visión social del empresario.

Un nuevo concepto adoptado por grandes corporaciones es el concepto de innovación socialmente responsable, que implica la convergencia de fines filantrópicos con necesidades de desarrollo de nuevas tecnologías y productos; desde este punto de vista, las donaciones de las empresas sirven como test o pruebas de bajo costo. Un ejemplo actual a nivel mundial es el retiro de Bill Gates de la administración de su empresa y su dedicación a fines filantrópicos a través de su fundación, pero ligando la innovación a la búsqueda de soluciones de los grandes problemas sociales. “Su Fundación Bill y Melinda Gates es hoy la organización de caridad con más dinero de EE.UU. Sus US$34.000 millones en activos superan los de las siguientes tres fundaciones más grandes (Ford, Getty y Robert Wood Johnson) combinadas. En 2009, repartió US$3.000 millones, o US$2.000 millones más que cualquier otro donante. Desde 2000, la fundación ha volcado US$5.000 millones en donaciones y becas para fines educativos.” (Riley, 2011).

Otro ejemplo, en México, es el caso del empresario Carlos Slim Helú, quien “ha desarrollado en los últimos años una estrategia exitosa basada en la responsabilidad social al promover la salud, educación, cultura, empleo, así como combatir la pobreza y desnutrición” (Guzman Roque, 2011) basándose en la creación de diversas fundaciones e instituciones enfocadas al cumplimiento de los objetivos de dicha estrategia socialmente responsable, en donde podemos encontrar que “Recientemente creó el Instituto Carso para la Salud, el cual se diseñó para dar un nuevo enfoque al cuidado de la salud en México” (Carlos Slim Helú, 2013)

Hemos visto hasta aquí cómo y por qué la RSE se convierte en un activo organizacional de la máxima importancia. Ahora vale la pena mencionar cuáles son, de acuerdo con distintos autores y perspectivas sobre la Responsabilidad Social Empresarial, los beneficios que puede reportar la implementación de esta cultura al interior de las organizaciones:

  • Fortalecer el aprendizaje organizacional.
  • Crear acceso a nuevos mercados.
  • Posicionar la marca, la reputación y la imagen de la empresa.
  • Ganar la confianza y la lealtad de consumidores responsables.
  • Establecer relaciones más consistentes y efectivas con sus proveedores y    clientes.
  • Disminuir los costos de producción a través de iniciativas sostenibles.
  • Mejorar el acceso a financiación atendiendo la creciente demanda por transparencia, gestión responsable y la adopción de criterios éticos.
  • Asegurar el cumplimiento de leyes y normas de órganos reguladores.

La Responsabilidad Social y el Medio Ambiente

En la actualidad se han hecho evidentes las errores al reconocer el crecimiento sin límite y comienza a haber consenso sobre la necesidad de un desarrollo de base sustentable; es decir que procure una mejora en la calidad de vida humana y que tenga en cuenta el ecosistema de forma de no afectar la disponibilidad de recursos ni las condiciones de vida de las generaciones futuras. El desarrollo sustentable debe procurar además del desarrollo económico, la equidad social y el soporte ambiental.

Desde una perspectiva ecológica, un elemental sentido común y también un razonamiento económico indican que el uso de recursos naturales debe realizarse a un ritmo que no exceda la capacidad del sistema de reaprovisionarse y también que la generación de residuos sea compatible con la capacidad del ecosistema de asimilarlos. El fundamento ético de la sustentabilidad económica la hace deseable y la realidad en materia ambiental la hace imprescindible.

En 2001, La Comisión Europea define la RSE como la integración voluntaria, por parte de las empresas, de las preocupaciones sociales y medioambientales en sus operaciones comerciales y sus relaciones con sus interlocutores. Es decir, para ser socialmente responsable, la empresa no debe limitarse a cumplir plenamente sus obligaciones jurídicas, sino ir más allá de su cumplimiento incluyendo, el entorno ambiental y las relaciones con los grupos de interés, que pueden verse afectados por ella o que pueden afectar a la misma.

   En este sentido, el compromiso de protección del medio ambiente está recogido en 3 de los diez principios del pacto mundial, plataforma internacional de adhesión voluntaria promovida por Naciones Unidas, que persigue el compromiso de las entidades firmantes en la responsabilidad social, por medio de la implantación de estos principios, basados en derechos humanos, laborales, medioambientales y de lucha contra la corrupción. En concreto, los principios que recogen el compromiso ambiental son:

  •  Principio 7: las empresas deberán mantener un enfoque preventivo que favorezca el medio ambiente.
  • Principio 8: las empresas deben fomentar las iniciativas que promuevan una mayor responsabilidad ambiental.
  •  Principio 9: las empresas deben favorecer el desarrollo y la difusión de las tecnologías respetuosas con el medio ambiente.

Cabría preguntarse entonces, si es posible una economía que, con igual escala, pueda tener mayor capacidad de satisfacción de las necesidades, obteniendo mejoras en el rendimiento y en el aprovechamiento de los recursos y mejorando las condiciones sociales de la población.

CEO CLÁSICO VS CEO SOCIALMENTE RESPONSABLE

En el siglo pasado el objetivo primordial de las organizaciones era la productividad; el papel entonces del CEO era de un actor principal que analizaba la situación, identificaba riesgos y dirigía toda una estrategia para dar una cambio radical. “El enfoque era completamente hacia dentro de la empresa y orientado a maximizar las utilidades y recursos” (González de la Torre, 2013). Hoy día,  la prioridad de la empresa no solo es la maximización de las utilidades, sino también dejar un impacto positivo y sostenido a través del tiempo (RSE); con ello el CEO ha tenido que optar por tomar el papel de catalizador, de un facilitador para lograr la comunicación en ambos sentidos (las áreas de negocio con el consejo de administración).

Desde esta perspectiva es importante hacer una comparación del CEO Clásico contra el CEO Socialmente Responsable para tener una panorámica de  su evolución.

 

Tabla 1: CEO Clásico Vs. CEO Socialmente Responsables (Elaboración propia.)

 

LOS CEOs SOCIALMENTE RESPONSABLES EN ACCIÓN

En la publicación de Diciembre de 2011 de la revista Mundo Ejecutivo se presento el Ranking de las 50 empresas con Mayor responsabilidad Social en México; para ello se tomaron en cuenta los siguientes criterios (Olmedo, 2011):

  • Calidad de Vida en la Empresa, se analizó el balance trabajo-familia, las condiciones laborales, la capacitación y al desarrollo del empleado, su seguridad laboral y la igualdad de oportunidades para crecer en la firma.
  • Ética Empresarial, significa determinar el nivel de los valores de honestidad y transparencia empresarial, se tomaron en cuenta aspectos cuantitativos y cualitativos.
  • Compromiso con la comunidad y su desarrollo, no sólo es involucrarse con la sociedad, sino ser parte de ella y comprometerse en el desarrollo social; es hacer la diferencia en las comunidades donde opera la empresa, maximizándose el valor agregado.
  • Medio Ambiente, cuidado y protección del entorno, los recursos y medio ambiente. Se refiere a la optimización de recursos y la sustentabilidad.
  • Factor Económico, se determinaron ventas anuales y de éstas el porcentaje que destinan a la responsabilidad social, el número total de empleados y, de ellos, cuántos participan en programas de apoyo a esta causa.

De esta evaluación se puede notar que los cinco primeros lugares de las empresas con mayor responsabilidad social en 2011 eran: en primera posición Coca-Cola, seguida de FEMSA, GF Banamex, Grupo Bimbo y en quinto lugar Cemex. De dicho análisis se puede recuperar lo que dichas empresas vienen haciendo para ser Socialmente Responsables. 

En ese sentido, los líderes encargados de la responsabilidad social pertenecientes a cada una de las  empresas destacan ideas que se pueden considerar como  referentes para enlistar las características de un Líder Socialmente Responsable y servir de base para una propuesta sobre el perfil ideal de un CEO Socialmente Responsable.

En sus propias palabras, Vivian Alegría, directora de Fundación Coca-Cola México menciona “Tenemos el compromiso de regresar a la tierra el 100 % del agua que utilizamos para elaborar nuestros productos” “Sólo colaborando y uniendo esfuerzos se pueden lograr cosas” (González, 2011); por su parte Francisco Suárez  Hernández, director de Sustentabilidad y Responsabilidad Social de la compañía regiomontana FEMSA; afirmaba, “La congruencia entre la filosofía empresarial y nuestras acciones en todos los niveles de la organización, es una prioridad, y nuestro compromiso con una cultura corporativa orientada a la construcción de un ambiente de trabajo armonioso al 100%” “Procuramos tener una relación abierta y de mutuo respeto con las comunidades donde tenemos operaciones, pues nos reconocemos como parte de ellas, por lo que tenemos el compromiso de contribuir al desarrollo económico y social a través de diversos programas institucionales” (Rendón, 2011).

Andrés Albo, director del área de compromiso social de Banamex señala que anualmente cuentan con la Encuesta Voz del Empleado; con una participación del 90% de los empleados, donde se pregunto sobre el cumplimiento de los principios; “Hay que tener en cuenta que la ética del banco se sustenta en un objetivo común: finanzas responsables, ingenio y liderazgo. Contamos con un código de conducta que es una expresión de nuestros valores. Somos reconocidos y respetados por la calidad de nuestra labor, nuestros conocimientos y nuestra gente… Buscamos lograr el más alto rendimiento con la más alta integridad” (Rendón, 2011).

Por su parte, la directora de Relaciones Institucionales de Grupo Bimbo aportaba “Todo esto se complementa en trabajo  con nuestros clientes y proveedores… Impulsamos programas de voluntariado  con nuestros colaboradores en favor del compromiso con la sociedad” (González, 2011).

La directora de Comunicación y Responsabilidad Social de Cemex, Martha Herrera González ha mencionado “…hacemos énfasis en la constante capacitación de nuestro equipo directivo; nos apoyamos en ETHOS, una iniciativa que nos permite acceder a todas las políticas de la compañía, identificar canales para formular preguntas y quejas, y obtener información acerca de nuestro gobierno corporativo” “ A Cemex le importa el desempeño de sus colaboradores y busca motivarlos para que se superen  en los ámbitos personal y profesional. Con el fin de contribuir en su formación integral, pone a su disposición  diversos programas que incluyen el cuidado de su salud, la capacitación a todos los niveles y la práctica del deporte, por mencionar algunos”. (Esquivel, 2011)

Por supuesto, es necesario ver en la realidad el impacto de dichas acciones, y revisar el grado de profundidad del impacto en la responsabilidad social y que no queden sólo en discursos.

LA CRISIS DE RESPONSABILIDAD SOCIAL EMPRESARIAL: PARADOJAS Y  CONSECUENCIAS

En la actualidad, la crisis económica sistémica muestra una cara del impacto de la falta de responsabilidad empresarial en las grandes corporaciones en el mundo. Hoy más que nunca grandes corporativos se han visto enfrentados a situaciones que ponen en peligro la integridad no sólo de sus organizaciones, sino que tienen impacto en la sociedad en general y en todos los ámbitos. La reciente crisis económica mundial de 2008 es prueba de ello.  El caso de Lehmans Brothers es paradigmático, otros corporativos cómo “Fannie Mae, Freddie Mac y AIG fueron objeto de un rescate ordenado por el gobierno, al agravarse la crisis que se desató como resultado del colapso del mercado de hipotecas”. (UNIVERSAL, 2008)

Este fue el primer paso para la crisis desatada en Estados Unidos en 2008, la cual fue generada por distintas fallas a la ética entre las cuales se encuentra la conducta de los altos directivos, por ejemplo, la aseguradora AIG siguió pagando a los ejecutivos que fueron los causantes de originar operaciones de alto riesgo financiero sin bases, y no solo esta aseguradora mostro conductas deshonestas en un ambiente de incertidumbre y desequilibrio financiero, Richard Fuld presidente de Lehmans Brothers fue descubierto por el congreso y “ El Presidente de la Comisión respectiva del Congreso  Henry Waxman  mostró que había cobrado en los últimos años 500 millones de dólares” (Kliksberg, 2009), un sobresueldo que no coincidía con las actividades realizadas por el directivo.

Otro caso digno de mencionar es el de John Tayhn, Presidente de Merrill Lynch a quien entre otros comportamientos, según notas del momento, solo le intereso como lucia su oficina y ordeno una redecoración, además de “el pago de bonos por 4.000 millones a los altos ejecutivos” (Kliksberg, 2009) sin importarle que su empresa hubiese sido absorbida con dinero del estado para su rescate.

A nivel nacional podemos ver que, en México, la responsabilidad social es medida a través de un distintivo otorgado por CEMEFI, sin embargo dicha distinción en la mayoría de los casos se contrapone con los efectos que las acciones de las empresas participantes evidencian con sus prácticas corporativas.

Por ejemplo; Coca cola en México ha recibido la distinción y el primer lugar en el ranking nacional de empresas socialmente responsables, por sus políticas de reciclaje, sus programas sobre la utilización del agua como su materia prima principal y campañas de reforestación (Coca-Cola, 2011), entre otros programas, pero poco se analiza el impacto que ha tenido en el país su producto, en donde en los últimos 30 años México ha pasado a ser el consumidor número uno en refrescos, y principalmente en refrescos de cola, teniendo esto un efecto devastador en la saludo pública, ya que los niveles de obesidad y enfermedades como diabetes mellitus tienen una relación directa con el alto consumo en producto altos en azúcar (OCDE, 2013), como lo son los productos de la Coca cola, y por otro, la gran contaminación que causan al ambiente sus desechos industriales, iniciando por los envases de PET.

Otro caso digno de comentarse, es el de las instituciones bancarias, en México, casi la totalidad de los bancos pertenecen desde hace dos décadas a capital extranjero, paradójicamente, dichas instituciones obtienen de manera global ingresos y utilidades muy superiores a las obtenidas en su lugar de origen, el caso de Bancomer BBVA, Santander y HSBC son muy significativos (CEPAL, 2010). No se regatea el hecho de que una empresa obtenga utilidades de manera legal, pero en este caso, los ingresos obtenidos no provienen en su mayoría del fomento y financiación a la economía mexicana, sino más bien de elevados cobros en comisiones por operaciones que en sus países de origen son a menudo mucho más bajos, he incluso llegan a incurrir en prácticas no permitidas legalmente en sus oficinas matriz.

Los anteriores, sólo son algunos de los claros ejemplos de CEOs que solo actúan en beneficio propio o de intereses privados, dejando de lado los principios de la conciencia socialmente responsable y olvidando los principios de todo líder, incumpliendo metas e inclusive llevando sus empresas a la quiebra, como es el caso de una empresa de más de 150  años de existencia como lo fue Lehmans Brothers.

Es muy cuestionable y paradójico que al mismo tiempo que empresas son distinguidas como empresas socialmente responsables, incurran en prácticas que se contraponen a una actitud socialmente responsable; no se trata sólo de paliar los efectos negativos de su práctica empresarial, no es sólo se trata de recuperar el agua que utilizan las empresas refresqueras, sino de revisar los efectos nocivos de su producto, ya sea por sus materiales de desecho como el PET y el aluminio, o bien por los grandes problemas de salud generados en sus clientes.

O bien, no se trata sólo visualizar la Responsabilidad Social como un acto altruista, sino de cambiar de actitud con respecto a la visión que se tiene del entorno y la manera en que las empresas interactúan con el, considerando al ser humano como parte de ese entorno que cada día, reciente más los efectos de acciones depredadoras de una economía basada en el consumo de recursos de manera descontrolada.

CARACTERÍSTICAS Y PERFIL DEL CEO SOCIALMENTE RESPONSABLE

En vista de que la Responsabilidad Social Empresarial (RSE), es una inversión que produce retornos en utilidades y que la dirección de las compañías avanza hacia nuevos tipos de liderazgo,  los directivos asumirán este reto  involucrando a los empleados. Por lo tanto las nuevas generaciones necesitan aprender a integrar  la responsabilidad social, a razón de esto “En 2004 representantes de veintiuna compañías, escuelas de negocios y centros de aprendizaje de negocios alrededor del mundo formaron un único grupo y se volvieron los fundadores de la iniciativa de liderazgo socialmente responsable”. ( Globally Responsible Leadership Initiative, 2005)

Es una realidad la estrategia en las empresas en donde la responsabilidad social produce acciones que generan ganancias, además  es una visión  que concibe el respeto a los valores éticos, a las personas, a las comunidades y al medio ambiente como parte fundamental en su estrategia competitiva.

Si bien la empresa debe tomar conciencia de la importancia que tiene la RSE, basada en su actividad en la satisfacción de necesidades sociales y generadora de riqueza, el CEO también debe asumir su papel de líder y portador de la filosofía de la empresa. El gran crecimiento de las empresas, su poder de mercado y su impacto en la sociedad, conlleva  de manera natural un aumento proporcional en sus responsabilidades; en una sociedad democrática, el poder tarde o temprano  da lugar a responsabilidades equivalentes. 

En una libre competencia, los agentes económicos acuden al mercado en busca de la satisfacción de sus propias necesidades, en tal forma que  en un orden natural todo lo regula al libre juego de oferta y demanda. Los precios cumplen el libre papel de informar e incentivar  a los agentes que intervienen. El estado nada tiene que hacer en el juego económico y el mercado libre y autónomo conduce a la armonía social. A menudo, dicha visión genera más problemas que soluciones, o al menos la impresión de que las empresas más allá de cumplir su papel en la sociedad, tienden a la depredación generada por una competencia encarnizada, global e inhumana.

En esta disyuntiva, el CEO juega un papel trascendental en la búsqueda de equilibrios entre la eficiencia y la competencia en el mercado global, y su compromiso con la sociedad y los participantes afectados por la organización. Es necesario que el CEO, desarrolle un perfil con miras a cumplir con dichos compromisos.

Muchos autores concuerdan que el CEO socialmente responsable debe contar con ciertas características que lo hacen considerarse como tal, en el reporte de los miembros de Globally Resposible Leadership de 2005 mencionan como las más importantes las siguientes:

  • Autoconocimiento y conciencia responsable socialmente.
  • Capacidad de diálogo. “Los lideres exitosos desvían la atención de ellos y alientan a otros a decir su opinión” (Llopis, 2013)  
  • Debate. Es importante para un CEO el discutir como las estrategias y acciones de su organización van a impactar el ambiente.  “Si no estás aprendiendo, no estás creciendo y con el paso del tiempo te vuelves irrelevante en tu trabajo” (Llopis, 2013)
  • Aplicación de los códigos de ética. Los CEOs deben desenvolverse en un margen cuya base sean los códigos de ética de; los derechos humanos, los estándares de labores, el entorno, la anti corrupción
  • Toma de decisiones basada en valores. “El CEO es una persona al servicio de la empresa desde una esfera que vincula el trabajo interno (áreas de negocio) con el consejo de administración. Ejecuta la estrategia marcada por el consejo y por lo tanto asegura que la comunicación fluya en ambos sentidos, que haya claridad de encargos y expectativas en su equipo” (Gonzales de la Torre, 2013). Además el CEO es tomador de decisiones, las cuales deben ser, como lo mencionamos anteriormente, en base a los códigos de ética y orientadas a la acción,
  • Debe tener valores como; Justicia, Libertad, Honestidad, Humanidad. “Todo CEO tiene que ser un dictador hasta cierto grado, pero lo que separa a los grandes lideres es una enorme masa de benevolencia” (Garlinghouse, 2013).
  • Responsabilidad y solidaridad: Uso de su autoridad de manera adecuada y conciencia del cuidado del medio ambiente.
  • Desarrollo sustentable: Cumplir con las necesidades de la empresa sin comprometer a las futuras generaciones.

LA PROPUESTA: UN INSTRUMENTO PARA VALORAR AL CEO SOCIALMENTE RESPONSABLE

Se han analizado y resumido las características de un CEO socialmente responsable pero ¿Cómo saber si se cuenta con alguna de ellas?  Para responder esta pregunta se hace una propuesta de un instrumento basado en una serie de cuestionamientos  que permitirá conocer las cualidades con las que cuenta el CEO, las que hay que reforzar y  las que hacen falta para ser responsable socialmente.

METODOLOGÍA: La Revista Mundo Ejecutivo de México, en su edición de Diciembre de 2011,  realizó un ranking de “las 50 firmas con alta responsabilidad social sustentable” Para la elaboración de este instrumento se tomaron en cuenta algunos criterios de investigación propuestos en dicho ranking, determinando la puntuación y la elaboración de las preguntas por el método de escalas de Likert.

A cada respuesta se le asignaron valores de 0 hasta 5 según lo siguiente:

0= Nivel deficiente

3= Nivel intermedio

5= Nivel máximo

Para así obtener un total de 115 aciertos durante todo el cuestionario de los cuales se omitieron preguntas de carácter general (Datos personales y de la empresa).

El porcentaje de cada sección queda distribuido de la siguiente manera:

 

Tabla 2: Porcentajes por Modulo (Elaboración propia.)

 

Una vez obtenidos los resultados el CEO podrá ser calificado como:

 

Tabla 3: Interpretación de Resultados. (Elaboración propia.)

 

La propuesta presentada en los anexos fue elaborada en el programa Encuesta fácil con el fin de ser abierta a los encuestados a través de internet.

RESULTADOS

La aplicación del instrumento evaluador para el CEO socialmente responsable se realizó en organizaciones de distintos giros tales como Servicios educativos, hotelerías, maquiladoras, agencias de viajes, cajas de ahorro, restaurantes, empresas textiles, entre otras con la finalidad de conocer el nivel de Responsabilidad Social que tienen sus directores generales.

 

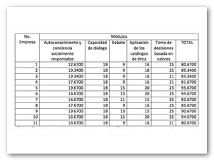
Tabla 4: Resultados por módulo representados en puntos. (Elaboración propia.)

 

Los resultados mostrados excluyen los apartados de Datos Generales y la Empresa, según se explicó en la metodología con el fin de aplicar correctamente la escala de Likert asignada al instrumento. Por lo tanto los resultados son los siguientes.

Los resultados en la tabla 4 están representados en puntos, los entrevistados obtuvieron en promedio 87.3373 puntos por lo tanto se considera que los CEO´s se encuentran dentro del rango REGULAR es decir, El CEO cuenta con áreas de oportunidad para poder llegar a ser considerado como socialmente responsable.

 

Tabla 5: Resultados por módulo representados en porcentaje. (Elaboración propia.)

 

De lo anterior se derivan las graficas de barras y pastel con el fin de encontrar las áreas de oportunidad dentro de las características de los CEO´s socialmente responsables, para lo cual se elaboro un cuadro en donde se representa el porcentaje obtenido con respecto al total por modulo.

 

FIGURA 2: Áreas de oportunidad (Elaboración propia.)

 

En promedio el modulo en donde se obtuvieron mejores resultados  fue el de Aplicación de los Códigos de Ética (4) en donde los CEO´s obtuvieron 85.45% del total del modulo, seguido del modulo de toma de decisiones basada en Valores (5) con un 79.09% del total del modulo. El modulo que obtuvo el porcentaje más bajo de cumplimiento fue el correspondiente a autoconocimiento y conciencia socialmente responsable (1) con un 69.35% del total del modulo, el cual podría considerarse como área de oportunidad para los CEO´s.

CONCLUSIONES

  • A nivel nacional e internacional, es muy cuestionable y paradójico que al mismo tiempo que empresas son distinguidas como empresas socialmente responsables, incurran en prácticas que se contraponen a una actitud socialmente responsable; no se trata sólo de paliar los efectos negativos de su práctica empresarial. La RSE no se trata sólo de un acto altruista, sino de cambiar de actitud con respecto a la visión que se tiene del entorno y la manera en que las empresas interactúan con el, considerando al ser humano como parte de ese entorno que cada día reciente más los efectos de acciones depredadoras de una economía basada en el consumo de recursos de manera descontrolada.
  • Es necesario que se entienda que la perspectiva de un CEO socialmente responsable es determinante no sólo en  el éxito empresarial, sino en la mejora de los estándares de la responsabilidad social de la empresa, por eso, es imperativo que, especialmente los directivos adopten una postura estratégica y vean dichas acciones como una forma de crear más valor a la empresa a través de la búsqueda de beneficios para todos los interesados de la compañía, sus accionistas, empleados y los demás stakeholders (Davis, Schoorman, & Donaldson, 1997).
  • Se ha detectado, que ni a nivel nacional ni internacional, los directivos tienen este perfil, ya que es común todavía que muchas empresas opten por una concepción utilitarista de la RSE o de la búsqueda de intereses individuales, así que es importante tener en cuenta que para la implementación estratégica de la RSE no sólo es relevante que los directivos consideren la necesidad de una nueva visión con respecto a la responsabilidad social empresarial.
  • La dirección en las empresas, deberá desarrollar habilidades necesarias para atender adecuadamente las cuestiones sociales, contribuyendo al bienestar social general a la vez que se mejora el contexto competitivo y se crea valor a largo plazo para la empresa (Porter & Kramer, 2006).  Es importante destacar que la responsabilidad social corporativa es una dimensión voluntaria, que va más allá del cumplimiento de las obligaciones legales de las empresas.

BIBLIOGRAFIA

Benavides Delgado, J., Alameda García, D., & Villagra García, N. (2002). Comunicación y cultura en la sociedad del conocimiento. Madrid: Fundación General de la Universidad Complutense.

Burke, L., & Logsdon, J. M. (1996). How Corporate Social Responsibility Pays Off. Long Range Planning , 495-502.

Carroll, A. B. (1998). Social Responsability. Massachusetts: Blackwell Publishers.

Correa, M. E., Flynn, S., & Amit, A. (2004). Responsabilidad social corporativa en América Latina: una visión empresarial (Vol. 85). United Nations Publications. CEPAL

Davis, J., Schoorman, F., & Donaldson, L. (1997). Toward a stewardship theory of management. Academy of Management Review , 20-48.

De la Cuesta, M. (2005). Las inversiones socialmente responsables. Revista Futuros , Vol. III (No. 11).

Deckop, J. M., & Gupta, S. (2006). The Effects of CEO Pay Structure on Corporate. Journal of Management , 329-342.

Edward, F. (2004). Ethical Leadership and Creating Value for Stakeholders. London: Peterson y O.C. Ferrel.

Empresarial, A. (2003). El ABC de la Responsabilidad Social en Chile y en el Mundo. Santiago, Chile: BSR Education and Found MORI.

Farooq Khan, A., & Atkinson, A. (1987). Managerial Attitudes to Social Responsibility: A Comparative Study in India and Britain. Journal of Business Ethics , 419-432.

Freeman, E., & Reed, D. (1983). Stockholders and Stakeholders: A New Perspective on Corporate Governance. California Management Review , 25(3):88- 106.

Globally Responsible Leadership Initiative. (2005). Globally responsible leadership a call for engagement. European Foundation for Management Development.

González, V. (2011). Con sed de salvar al planeta. Mundo Ejecutivo , 29-30.

González, V. (2011). Ser responsable debe generar negocio. Mundo Ejecutivo , 40-42.

Grunig, J. E., & Repper, F. (1992). Strategic management, publics and. Excellence in public relations and , 117-157.

Hellriegel, D. J. (2004). Management (2nd South African ed). Cape Town: Oxford University Press Southern Africa.

Olmedo, R. (2011). Las 50 firmas con alta responsabilidad social sustentable. Mundo Ejecutivo , 18-21.

Peters, R., & Mullen, M. (2009). Some Evidence of the Cumulative Effects of Corporate. Journal of Global Business Issues , 1-14.

Pless, N. (2007). Desarrollando. UNIVERSIA Business Reviw , 58.

Porter, M., & Kramer, M. (2006). Strategy and Society. The link between competitive. Harvard Business Review , 78-92.

Rendón, H. (2011). Cada peso a Sustentabilidad, una inversión. Mundo Ejecutivo , 33-34.

Rendón, H. (2011). El dinero no es todo en la vida. Mundo Ejecutivo, 37-38.

Singhapakdi, A., Vitell, S. J., & Franke., G. R. (1999). Antecedents, Consequences, and Mediating Effects of Perceived Moral Intensity and Personal Moral Philosophies. Journal of theAcademy of Marketing Science , 19-36.

Swanson, D. (2008). Top managers as drivers for corporate social responsibility. United Kingdom: The Oxford Handbook of Corporate Social Responsibility.

FUENTES ELECTRÓNICAS

Carlos Slim Helú. (2013). Recuperado el 27 de 02 de 2013, de http://www.carlosslim.com/responsabilidad.html

CEMEFI. (15 de Marzo de 2009). Responsabilidad Social Empresarial. Recuperado el 20 de Febrero de 2013, de http://www.cemefi.org/

Garlinghouse, B. (19 de 02 de 2013). linked in. Recuperado el 21 de 02 de 2013, de http://www.linkedin.com/today/post/article/20130219135706-3807-the-benevolent-dictator-as-ceo

Clarke, T. (1997). Stakeholder communications. Journal of, 206-207.

Forum, W. E. (s.f.). Foro economico mundial. Recuperado el 20 de febrero de 2013, de World Economic Forum: www.weforum.org/

González de la Torre, J. (2013). Delta Top Talent. Recuperado el 20 de Febrero de 2013, de Tailor-Made Executive Search: http://www.deltatoptalent.com/index.php/es/publicaciones/9-para-clientes/66-el-rol-del-ceo-en-el-2020

Kliksberg, B. (2009). UNA AGENDA RENOVADA DE RESPONSABILIDAD EMPRESARIAL PARA AMERICA LATINA. Buenos Aires , Argentina.

Llopis, G. (18 de 02 de 2013). CEO.com. Recuperado el 21 de 02 de 2013, de Link aqui

Riley, J. L. (31 de Julio de 2011). THE WALL STREET JOURNAL. Recuperado el 2013 de Febrero de 2013, de http://online.wsj.com/article/SB10001424053111904800304576476461451561854.html

Torre, J. G. (2013). Delta Top Talent. Recuperado el 20 de Febrero de 2013, de http://www.deltatoptalent.com/index.php/es/publicaciones/9-para-clientes/66-el-rol-del-ceo-en-el-2020.

UNIVERSAL, E. (28 de Septiembre de 2008). EL UNIVERSAL.COM. Recuperado el 26 de 02 de 2013, de http://www.eluniversal.com.mx/notas/540955.html

(UE), C. d. (2001). Libro Verde: Fomentar un Marco Europeo para la Responsabilidad Social de las Empresas: http://europa.eu/abouteuropa/index_en.htm.


[1]Algunos autores tratan indistintamente a la Responsabilidad Social Empresarial (RSE) como Responsabilidad Social Corporativa (RSC). (Correa, 2004)

[2]La Alianza por la Responsabilidad Social Empresarial fue creada en 2002 en México por el CEMEFI y las principales cúpulas empresariales mexicanas con el fin de promover y coordinar el trabajo de responsabilidad empresarial. (Correa, 2004)

[3] Stakeholder es un término inglés utilizado para quienes pueden afectar o son afectados por las actividades de una empresa. (Clarke, 1997)


[a] Responsable. Universidad Autónoma del Estado de Hidalgo Escuela Superior Tepeji. Dirección: Tel: Correo electrónico: jlreyes_13@hotmail.com

[b] Universidad Autónoma del Estado de Hidalgo Escuela Superior Tepeji. Correo Electrónico: mgabyst@gmail.com