Desarrollo regional, empleo y género: un análisis de las regiones económicas de México, 2012

Resumen

Este ensayo pretende demostrar que las condiciones de trabajo en las regiones económicas de México dependen esencialmente de la especialización productiva que tenga cada una de las entidades federativas, con la finalidad de proponer política de empleo que contribuya a incentivar el desarrollo regional. Se muestra que la teoría de la economía regional juega un papel trascendental en la generación de política económica, asimismo a través de datos estadísticos se calculan los coeficientes de especialización, que permitan identificar la vocación productiva de cada una de las entidades federativas, realizando un análisis descriptivo de calidad en el empleo y de la especialización regional. Finalmente, se observa la relación que existe entre estas dos variables, destacando el papel del género en la política económica.

 

Palabras clave: Empleo, condiciones de trabajo, región y desarrollo regional

Abstract

This paper seeks to show that working conditions in Mexico's economic regions depend essentially on the specialization that has each of the states, in order to propose employment policy to help promote regional development. It is shown that the theory of the regional economy plays a key role in generating economic policy, also through statistical coefficients are calculated specialization, to identify the production profile of each of the states, making a descriptive analysis of job quality and regional specialization. Finally, we look at the relationship between these two variables, highlighting the role of gender in economic policy.

 

Keywords: Employment, working conditions, region and regional development

Introducción

El diseño de la política laboral requiere de un replanteamiento profundo para resolver los problemas estructurales que han impedido la generación de empleos dignos y de calidad que demanda la sociedad. Según el informe sobre Tendencias Mundiales de Empleo 2013, presentado por la Organización Internacional del Trabajo (OIT) en el mundo existían 197 millones de personas desempleadas en el 2012, y las perspectivas para 2013 y 2014 no son alentadoras, pues se espera que esta cifra vaya en aumento hasta llegar a 205 millones de personas desempleadas (OIT, Tendencias Mundiales del Empleo 2013, 2013).

El abatimiento de las políticas encaminadas a la seguridad y a la protección laboral ha ocasionado que los trabajadores de las regiones que han logrado detener el desempleo, se encuentren inmersos en un sistema de inestabilidad y riesgo laboral, elevando de manera significativa el número de personas que viven en situación de pobreza. Crear empleos de calidad debe ser una prioridad en la política económica, cuando se desea reducir problemas, tales como: la pobreza, la marginación y la delincuencia.

La vulnerabilidad que se presenta hoy en día en el sector laboral mexicano y en general en América Latina ha llevado a los trabajadores a un estado caótico y atípico debido al abandono de lo que por muchos años fue la seguridad social, haciendo del futuro una situación cada vez más incierta. La crisis del trabajo, se ha transformado en una crisis de precarización de las actividades laborales, y a decir de De la Garza, no se trata sólo de una crisis de desempleo, sino además de un incremento sustancial de las actividades precarias (De la Garza, 2003; p. 28).

En México las estrategias macroeconómicas han sido cimentadas en el profundo rechazo del Estado en aras del mercado, favoreciendo el déficit nulo en las finanzas públicas, una inflación baja y una dinámica exportadora como estrategia de empleo, la cual lejos de lograr las condiciones de estabilidad macroeconómica que el país requiere, ha propiciado una reducción de los salarios, debilitando el mercado interno y provocando un detrimento en las ventas, lo que disminuye la producción, y por tanto los niveles de empleo. La política laboral debe analizar la problemática de empleo y salarios en un contexto regional, identificando los problemas estructurales que permitan reorientar la política económica que favorezca la generación de empleos con salarios apropiados y condiciones de trabajo prosperas, que impacten de manera significativa en el bienestar de las y los trabajadores.

El reto más grande de la economía es el relacionado con el mundo del trabajo el cual va más allá de cuestiones salariales, involucrando aspectos sociales tales como las condiciones laborales. El objetivo de este ensayo es demostrar a través de información estadística correspondiente al año 2012, que las condiciones de trabajo en las regiones económicas de México dependen esencialmente de la vocación productiva que tenga cada una de las entidades federativas. Lo que permitirá la construcción de política laboral que fomente el desarrollo de las regiones económicas de México.

El trabajo se divide en cuatro partes, en la primera de ellas se resalta la importancia del análisis regional, en el contexto económico, justificando su estudio y aplicación. En segundo lugar se realiza un esbozo de la situación laboral de la economía mexicana, destacando la precarización de las condiciones laborales de los trabajadores mexicanos. Posteriormente, se desarrollan los elementos estadísticos que permiten evidenciar la situación de las y los trabajadores mexicanos en las regiones económicas de México. Por último, se plantean las conclusiones generales, destacando la importancia del análisis regional en la generación de política laboral.

1. Las regiones económicas de México

Si entendemos la región económica como un espacio geográfico en el cual interactúan relaciones sociales, factores y elementos materiales, que se cohesionan entre sí para conformar sistemas productivos y de intercambio económico, con el objetivo de generar bienes y servicios para la satisfacción de las necesidades, su estudio se vuelve esencial para impulsar el crecimiento y desarrollo económico de los países. A pesar del auge y la ampliación de las técnicas de análisis regional, las políticas para favorecer el desarrollo económico de las regiones han estado enmarcadas en un contexto nacional, lo que ha implicado en muchos casos un fracaso de la política pública favoreciendo la divergencia económica entre las regiones1.

Desde hace ya varias décadas la teoría económica ha intentado dar respuesta a las causas y consecuencias que se derivan de las disparidades regionales (principalmente aquellas que tienen que ver con elementos espaciales), por ejemplo, la fuerza laboral de una región a otra presenta características distintas. Los instrumentos para la dirección y aplicación de propuestas de política económica encaminadas a incrementar el bienestar de las personas, debe considerar una perspectiva territorial, que promueva objetivos de desarrollo económico y social específicos a las características de cada región.

La movilidad de las personas, factores, insumos y productos hacen del análisis regional un elemento importante para explicar las patologías que se viven en las sociedades capitalistas. El proceso de organización y análisis territorial representa un ejercicio interdisciplinario que requiere de datos espaciales y atributos territoriales en un eje temporal específico (Bocco, Mendoza, Velazquez, & Torres, 1999).

El desarrollo de las regiones depende del tipo de políticas públicas que se generen; estas inciden sobre la distribución geográfica de la producción y el empleo. Según Alejandro Dávila, (2004), los principales modelos teóricos que tratan de explicar las disparidades en el crecimiento económico regional son:

  1. Los modelos neoclásicos del crecimiento, cuyo resultado fundamental indica que si existe libre movilidad interregional de los factores productivos e información perfecta, los diferenciales en las tasas regionales de crecimiento tenderán a la convergencia en sus niveles de ingreso pércapita.
  2. Los de inspiración keynesiana denominados de base exportadora, Estos asignan al dinámismo de las exportaciones un papel clave, y por ende, en sus disparidades económicas.
  3. Los de causalidad acumulativa, estos modelos hacen auge en el carácter autosostenido del proceso de crecimiento económico regional, a través de la obtención de economías de escala lo que impulsa el crecimiento por habitante (Dávila, 2004).

Este último punto muestra el papel de la especialización regional y las economías de escala como estrategia en el proceso de producción, para generar una mayor productividad y competitividad en los sectores económicos regionales. Las políticas deben orientarse a motivar el cambio tecnológico, así como la relación capital-medios de producción-producto, impulsando las economías de escala y aglomeración en aras de incrementar el bienestar social.

Existe un conceso entre los analistas del desarrollo regional de que el crecimiento de las regiones o países depende fundamentalmente de los recursos existentes en cada región económica. Solaria y Martinez (2005), señala que las premisas del desarrollo local son: los recursos existentes y la capacidad innovadora de las empresas, pues ésta es resultado de las diversas interacciones que existen en las regiones económicas y que involucran aspectos tales como el social, el económico, el cultural, etc.

El desarrollo económico local, pone de manifiesto la importancia de las características endógenas naturales y socialmente construidas a lo largo de la historia, como procesos dinámicos que convergen a un contexto específico: la división social del trabajo. Este hecho permite controlar la evolución de la humanidad a través de un proceso de planeación económica versus un crecimiento sin rumbo, como se promueve en las economías de mercado2.

La política de crecimiento y desarrollo regional debe promover objetivos que contribuyan a disminuir las disparidades regionales a través de las características endógenas. En México, los factores que han incidido sobre el crecimiento de las principales variables económicas: empleo e inversión, han tenido como premisa el contexto nacional, incentivando las disparidades regionales. No obstante, es factible integrar en las acciones de política macroeconómica los elementos regionales para propiciar el tan anhelado desarrollo del país.

La concentración de la actividad económica, puede considerarse un criterio de análisis regional debido a la existencia de economías de escala y aglomeración que impulsan un incremento del gasto, lo que incentiva la inversión en esa región incrementando los niveles de empleo, pues las empresas buscarán reducir sus costos (principalmente de transporte) y ubicarse  cerca del mercado. Además una concentración de las actividades económicas, abarata los insumos lo que genera un incremento de la producción y el consumo dentro de la misma región.

En nuestro país, las disparidades que existen entre las actividades económicas han generado en muchos de los casos, la sub-utilización de las ventajas que trae consigo la especialización regional. Analizando el coeficiente de localización3 en el 20124, para identificar la concentración existente de las actividades económicas en cada entidad federativa, respecto del nivel promedio de la dinámica económica nacional. Tenemos que el 37 por ciento de las entidades (doce) se especializan en actividades primarias, 41 por ciento en actividades secundarias (trece) y 22 por ciento de las entidades (siete), se encuentran especializadas en actividades terciarias (Ver mapa 1).

Mapa 1

Fuente: Elaboración propia con información de la Encuesta Nacional de Ocupación y Empleo 2012, INEGI

 

Obsérvese que geográficamente las entidades ubicadas al norte del país y el bajío se especializan en actividades correspondientes al sector secundario (industria), mientras que en el sur del país predomina una especialización en las actividades primarias (agricultura, ganadería, silvicultura, pesca). Respecto a la especialización regional en actividades terciarias (servicios, comunicación y turismo), no existe un patrón geográfico pues podemos ver que existen entidades como Baja California Sur y Sinaloa ubicadas en el norte, el Distrito Federal, Morelos e Hidalgo ubicados en el centro, y Tabasco y Quintana Roo ubicados en el sur del país.

La diferenciación que existe en las entidades federativas de México respecto a la actividad económica predominante, nos lleva a generar la hipótesis de que las necesidades de capital humano de las distintas actividades económicas difieren unas de otras, lo que implica que las condiciones de trabajo y los salarios también sean diferentes, por tanto una política laboral que no considere estos aspectos en la planeación de las actividades resultará ineficiente para resolver los problemas de disparidades en la renta regional.

México esta caracterizado por una diferenciación no sólo geográfica sino además económica y social, por ello se deben generar las condiciones necesarias para que gran parte de la población pueda acceder a un empleo de calidad que les permita integrarse en la vida productiva y social del país.

2. Desempleo y precarización del trabajo en México

Después del surgimiento de la Teoría General de la Ocupación, el Interés y el Dinero en 1936, por el economista inglés John Maynard Keynes, el mito sobre el pleno empleo fue quebrantado mostrándose la existencia de equilibrio con desempleo involuntario. El desempleo involuntario representa hoy en día una de las principales patologías que vive la economía mundial y junto con la precarización de las condiciones de trabajo ha traído  implicaciones como la pobreza y la marginación, las cuales se manifiestan con mayor frecuencia en la sociedad.

La situación de incertidumbre social provocada por el abatimiento de las políticas encaminadas a la seguridad y protección laboral5, ha ocasionado que en México en materia de empleo no se han obtenido los resultados deseados y en dieciséis años sólo hemos reducido el desempleo en 1.4 por ciento  (la tasa de desocupación promedio anual era del 6.9 por ciento para 1995 y en el 2012 es de 5.4 por ciento; ver gráfica 1).

El postulado ortodoxo que señala que en el equilibrio todo el que desee trabajar lo podrá hacer6 muestra ser endeble ante los resultados obtenidos en el ámbito laboral. Para los defensores del neoliberalismo la ineficiencia del mercado se justifica por las rigideces que presenta el sector laboral de México (sindicatos, salario mínimo, contrato colectivo, jornadas de trabajo por día y no por hora, etc.) las cuales impiden su correcto funcionamiento. Sin embargo, existe evidencia estadística suficiente para señalar que en el sector laboral mexicano se han favorecido las políticas liberales, sin que ello repercuta de manera positiva sobre la productividad y competitividad del aparato productivo de nuestro país (Rodríguez & Gaona, 2010).

 

Fuente: Elaboración propia con base en la Encuesta Nacional de Ocupación y Empleo INEGI

 

El comportamiento de la Población Económicamente Activa (PEA) presenta ciertas peculiaridades en el sector laboral, mismas que deben analizarse, en primer lugar, la disminución de la tasa de desempleo ha venido acompañada de un repunte significativo en el sector informal, 1.5 por ciento de 1995 al 2012 (ver gráfica 2). En segundo lugar, la migración internacional principalmente la dirigida a los Estados Unidos se ha acrecentado en más de 7 millones de personas en el periodo comprendido entre 1995-2012. Estos dos elementos ponen en duda la eficiencia de las acciones que en materia laboral han emprendido las autoridades mexicanas.

Fuente: Elaboración propia con base en la Encuesta Nacional de Ocupación y Empleo INEGI

 

La precariedad 7 de las condiciones laborales, entendidas como aquel estado en el cual el trabajo no presentan ninguna garantía, el salario es bajo y el empleo es incierto, ha ocasionado un incremento sustancias en el número de pobres que viven en la sociedad mexicana. En los últimos años, en México se ha venido condicionando a los trabajadores para eliminar todas aquellas prestaciones a las que por ley tienen derecho, en el año  2012 el porcentaje de trabajadores promedio que contaba con un contrato escrito era del 38 por ciento, y solo el 30 por ciento del personal ocupado gozaba de prestaciones sociales tales como aguinaldo, vacaciones pagadas, crédito de vivienda y fondo de retiro. Del 100 por ciento del personal ocupado, el 67 por ciento recibía un ingreso inferior a los 5,248 pesos mensuales insuficiente para satisfacer el total de sus necesidades y llevar una vida digna, además 15 por ciento tiene una jornada de trabajo superior a las 8 horas. diarias incluyendo fines de semana.

Las características del sector laboral van más allá de cuestiones salariales, involucra también aspectos sociales, como por ejemplo: el género. En México los hogares que son encabezados por una mujer representan el 22 por ciento, por lo que de no generar las condiciones de seguridad social en el trabajo implicará permanecer en el atraso y la marginación con la que se vive hoy en día. De acuerdo con Martha Chen (2007), existe un lazo entre el estatus de ser pobre, ser una mujer y trabajar en la economía informal. Esta afirmación indica que pueden existir elementos que hacen que su participación en estas actividades sea diferente a la de la población masculina.

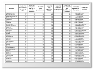
Las diferencias de género que se presentan en el aparato productivo mexicano muestran el fracaso de la política pública para hacer que las y los trabajadores puedan acceder a empleos en igualdad de oportunidades, por ejemplo, de acuerdo al Índice de Calidad Laboral 2012 8, el cual considera seis variables (horas trabajadas, el nivel de ingreso, prestaciones,  seguridad social, si se es empleador y nivel de estudios), como indicadores de bienestar laboral, se observa que para el caso de la población femenina solo una entidad (Chihuahua) obtuvo un índice de calidad laboral dentro del rango de muy alto, mientras que cinco entidades en rango alto, diecisiete en medio, siete en bajo y dos en muy bajo (Guerrero y Tlaxcala), en contraste, para el caso de la calidad laboral en el empleo masculino, cinco entidades presentaron calidad en el empleo muy alto ( Baja California Sur, Coahuila, Chihuahua, Nuevo León y Sonora), cuatro alto, once medio, nueve bajo y 3 muy bajo (Guerrero, Oaxaca y Tlaxcala). Chihuahua es la entidad en donde la calidad del empleo de hombres y mujeres resulta ser muy alta, en contraparte Guerrero y Tlaxcala son las entidades en las que la calidad en el empleo es muy baja ver (Cuadro 1 y 2).

 

Cuadro 1
México 2012: Índice de calidad laboral femenino por entidad federativa

Fuente: Elaboración propia con base en la Encuesta Nacional de Ocupación y Empleo INEGI

Cuadro 2
México 2012: Índice de calidad laboral masculino por entidad federativa

Fuente. Elaboración propia con base a información de la Encuesta Nacional de Ocupación y Empleo. INEGI 2012.

 

Los cuadros 1 y 2, muestran de manera empírica la existencia de diferencias significativas de género en el sector laboral mexicano, en el cual las mujeres son más vulnerables que los hombres, situación que se torna compleja en un mundo en el cual la participación de las mujeres en el mercado de trabajo ha ido en aumento, tal que la Organización Mundial del Trabajo (OIT) plantea la existencia de un fenómeno denominado feminización de la fuerza laboral y el empleo 9. Algunos estudios han demostrado que la reestructuración económica conduce a un aumento de la participación femenina en la fuerza laboral, incluso después de controlar el efecto a largo plazo de la feminización del sector laboral, que ha producido el desarrollo económico, con frecuencia, conocida como la curva en U de incremento en la participación laboral de las mujeres en el transcurso del desarrollo (García, 2001; p.47).

La reestructuración laboral afecta de manera adversa a las mujeres trabajadoras. Por una parte, a pesar de que se abren más oportunidades de empleo, una proporción cada vez mayor de ellas se ocupa en empleos inestables, las mujeres también se ven afectadas adversamente por los despidos masculinos en las empresas formalmente establecidas, en tales casos, los varones ocupan los mejores puestos dentro del sector informal, empujando a las mujeres todavía más abajo en la escala laboral, (García, 2001; p.48).

3. Condiciones de trabajo y región

 

La premisa fundamental de este ensayo, es mostrar la importancia de la planeación regional en la construcción de la política laboral, pues está debe responder a necesidades y características especificas como el sector de actividad económico. La planeación regional presenta diferencias notables con la forma en que se concibe el desarrollo, pues involucra aspectos clave como la especialización. En este apartado se presenta un análisis sobre las relaciones encontradas entre el Índice de Calidad en el Empleo y el coeficiente de localización para las treinta y dos entidades federativas en el 2012, la información corresponde al promedio anual del año referido, obtenido de la Encuesta Nacional de Ocupación y Empleo (ENOE), publicada por el Instituto Nacional de Estadística y Geografía.

El cuadro 3, muestra un resumen de las características de especialización de las entidades federativa según sector de actividad económica, así como, el número de entidades que se encuentran en cada uno de los rangos de calidad en el empleo. Así podemos ver que de las doce entidades con especialización en el sector primario el 50 por ciento de las entidades se encuentra en calidad media para el caso de las mujeres, mientras que para los hombres el mismo 50 por ciento se encuentra en calidad baja. Para el caso de los estados especializados en el sector secundario el 7 y 30 por ciento del empleo para mujeres y hombres respectivamente se catalogo dentro del rango de muy alta calidad en el empleo. Por último, en el caso del sector servicios no existen entidades que ofrezcan a la población femenina una calidad alta en el empleo, mientras que para los hombres esta es del 14 por ciento.

 

Cuadro 3. Resumen Especialización/calidad en el empleo

Fuente: Elaboración propia con información del Cuadro 1 y 2.

 

El análisis realizado a los estados que conforman la Republica Mexicana muestra que las mujeres presentan una mayor vulnerabilidad que los hombres, principalmente en las entidades federativas especializadas en los sectores primarios y secundarios, así mismo, se observa que en las entidades donde el sector de actividad es primordialmente primario, la calidad del empleo es baja, impactando en mayor medida a los hombres. Esto podría parecer un resultado habitual, pues, es el campo en donde la gente trabaja sin prestación alguna, sin embargo, es también esta actividad la que predomina en la generación de empleo en un alto porcentaje (37 por ciento), lo que implica que de no generar las estrategias necesarias para fortalecer el campo mexicano, estaremos incentivando la pobreza y el nulo crecimiento de la economía mexicana. 

Conclusiones

 A pesar del auge y la ampliación de las técnicas de análisis regional, las políticas para favorecer el desarrollo económico de las regiones han estado enmarcadas en un contexto nacional, lo que ha implicado en muchos casos un fracaso de la política pública favoreciendo la divergencia económica entre las regiones. En este sentido, nuestra investigación se planteó como objetivo demostrar a través de información estadística correspondiente al año 2012, que las condiciones de trabajo en las regiones económicas de México dependen esencialmente de la vocación productiva que tenga cada una de las entidades federativas, situación que se comprueba con el análisis aquí presentado. Por otro lado, el análisis realizado a los estados que conforman la Republica Mexicana muestra que las mujeres presentan una mayor vulnerabilidad que los hombres, principalmente en las entidades federativas especializadas en los sectores primarios y secundarios, así mismo, se observa que en las entidades donde el sector de actividad es primordialmente primario, la calidad del empleo es baja, impactando en mayor medida a los hombres.  Por tanto, la evidencia estadística aquí presentada ha mostrado la importancia que tiene el género para pertenecer o no a un grupo vulnerable.

Ante tal situación, es necesario generar acciones que reduzcan las diferencias que existen en el sector laboral entre hombres y mujeres, pues según datos del INEGI el 22% de los hogares mexicanos son dirigidos por estas últimas. Si se generan las condiciones necesarias para erradicar las diferencias regionales de tal forma que las mujeres puedan incorporarse al sector laboral en las mismas condiciones que los hombres, con trabajos de calidad es posible generar una sociedad más justa y equitativa. Lo anterior implica un sistema de seguridad social fuerte que incluya servicio de guarderías en los centros de trabajo, apoyo escolar a madres solteras, apoyo para vivienda, y becas para continuar sus estudios. Con estas acciones se puede disminuir la diferencia que existe en el sector laboral mexicano, con lo cual se puede dar paso al tan anhelado desarrollo que tanto requiere el país.

Bibliografía

Bocco, G., Mendoza, M., Velazquez, A., & Torres, A. (1999). La regionalización geomorfológica como una alternativa de regionalización ecológica en México: el caso de Michoacán de Ocampo. Investigaciones Geográficas , 7-22.

CONAPO. (30 de Octubre de 2000). Consejo Nacional de Población . Recuperado el 2 de Noviembre de 2012, de Consejo Nacional de Población: http://www.conapo.gob.mx/publicaciones/indices/pdfs/AnexoC.pdf

Coronado Guerrero, D. (1997). El proceso de evaluación de las políticas económicas regonales: una revisión de métodos y experiencias. Etudios Regionales, Num. 47 , 37-81.

Chen, M. (2007). Cómo comprender la identidad. En A. K. Sen, Identidad y violencia: La ilusión del destino (pág. 253). Madrid: Katz Editores.

Davila, A. (2004). México: concentración y localización del empleo manufacturero 1980-1998. Economía Méxicana , 209-254.

De la Garza, E. (2003). Problemas clásicos y actuales de la crisis del trabajo. Mexico, D.F: UAM.

Gaona, E., & Rodríguez, E. (2012). Equidad en el empleo: El caso de as mujeres trabajadoras en las entidades federativas de México. En M. L. Franco, & C. Mejía, Cambios sociales y precariedad en el empleo (págs. 141-155). México D.F.: Lito Grapo.

O. I. T (s.f.). Feminización del mercado de trabajo. Recuperado el 29 de marzo de 2012, de http://www.oit.org.pe/index.php?option=com_content&view=article&id=891:tendencias-mundiales-del-empleo-de-las-mujeres-2007&catid=117:ultimas-noticias&Itemid=1305

OIT. (2013). Tendencias Mundiales del Empleo 2013. Recuperado el 1 de Marzo de 2013, de http://www.ilo.org/wcmsp5/groups/public/---dgreports/---dcomm/---publ/documents/publication/wcms_202216.pdf

Rodríguez, E., & Gaona, E. (2010). La Reforma Laboral ¿Promueve la competitividad y el empleo? En A. Terrones C., Globalización Crisis y Crecimiento Económico en México (pág. 198). Pachuca: Plaza y Váldez.

Stiglitz, J. E. (2002). Empleo, justicia social y bienestar de la sociedad. Revista Internacional del Trabajo , 9-30.

 

 

 

[1] La teoría neoclásica ha difundido como estrategia para lograr el crecimiento económico regional, una política económica orientada a las exportaciones en donde la demanda externa juega un papel trascendental, pues del lugar central dinamizado (país importador), crecerán los flujos que impulsen la economía en desarrollo (país exportador).

[2]La economía neoclásica señala que el mercado, posee por sí mismo la capacidad de excluir los problemas regionales y garantizar la convergencia Para un mayor análisis al respecto véase (Coronado Guerrero, 1997).

[3]El coeficiente de localización Es la técnica más comúnmente usada para medir la distribución geográfica de la actividad económica, pero también puede utilizarse para medir especialización o vocación regional y se obtiene de la siguiente manera: LQ_ij=(e_ij/e_t )/(E_i/E_t )
Donde:
LQij = Coeficiente de localización para la industria “i” en la región “j”
eij = Empleo o valor agregado local en la industria “i” en la región “j”
et = Empleo o valor agregado local total
Ei = Empleo o valor agregado en el área de referencia en la industria “i”

[4]La información utilizada para el análisis del año 2012, se obtuvo de la Encuesta Nacional de Ocupación y Empleo del INEGI, para los cuatro trimestres correspondientes a ese año.

[5]Stiglitz compara la flexibilidad del mercado de trabajo con la de capitales y señala que son políticas liberalizadoras de los mercados de trabajo y de capital respectivamente, pero con consecuencias muy asimétricas y ambas sirven para acrecentar el capital a expensas de los trabajadores (Stiglitz, 2002).

[6]Lo anterior debido a que los desempleados presionan los salarios a la baja, hasta el punto donde la oferta y la demanda de trabajo se igualen, logrando así, el equilibrio. Reconocen la existencia de desempleo al que catalogan como friccional, pues la propia dinámica del sector laboral hace que muchas personas cambien de trabajo. Si en una economía existen mecanismos ajenos al mercado (rigideces) que ocasionan que el salario que se paga sea superior al de equilibrio, entonces surgirá desempleo involuntario. Véase (Dornbusch & Fischer, 1994); (Romer, 2002) y (Solow, 1999).

[7] La palabra precario proviene del latín precarius que significa no seguro, logrado por ruegos. La real academia de la lengua española define a lo precario como lo que no posee los medios o recursos suficientes.

[8]Para la construcción del índice, se utiliza la técnica estadística de componentes principales (misma que utiliza el Consejo Nacional de Población “CONAPO” para realizar la construcción de los índices de Marginalidad), ésta técnica consiste en la transformación de un conjunto de variables (o indicadores) en uno nuevo, donde con un número menor de variables se pretende reelaborar una interpretación más sencilla del fenómeno original. El índice cumple las siguientes características:
1. Reduzca la dimensionalidad original y al mismo tiempo retenga y refleje al máximo posible la información referida a la dispersión de los datos en cada uno de los indicadores, así como las relaciones entre ellos, y
2. Permita establecer una ordenación entre las unidades de observación. (CONAPO, 2000: 169 -196).

[9]Para un mayor análisis véase Tendencias mundiales del empleo de las mujeres 2007 en OIT http://www.oit.org.pe/index.php?option=com_content&view=article&id=891:tendencias-mundiales-del-empleo-de-las-mujeres-2007&catid=117:ultimas-noticias&Itemid=1305. Fecha de consulta: 29 de marzo del 2012.

 

 

 

[a] Profesores Investigadores de Tiempo Completo del Área Académica de Economía de la Universidad Autónoma del Estado de Hidalgo